Pasar al contenido principal

Estados Unidos encubre y defiende la masacre en masa de civiles cometida por Israel

Estados Unidos respalda, financia y apoya totalmente la masacre genocida israelí contra el pueblo palestino en Gaza. Se han contabilizado oficialmente casi 18.000 palestinos muertos y se han reportado 7.000 desaparecidos, muchos, si no la mayoría, enterrados bajo los escombros tras los bombardeos israelíes.

Mientras que el primer ministro Benjamín Netanyahu, o mejor llamado Netan-Nazi, defiende abiertamente la matanza en masa de civiles, el genocida Joe Biden y sus cómplices criminales en el gobierno de Estados Unidos condenan levemente la matanza gratuita de civiles —y hasta intentan distanciarse de dicha matanza, al mismo tiempo que mienten sobre lo que en realidad está sucediendo.

Esta semana, en una conferencia de prensa en la que se abordó el actual apoyo militar estadounidense a Israel, el coordinador del Consejo de Seguridad Nacional para Comunicaciones Estratégicas de Biden, John Kirby, dijo: “No queremos ver más daño a civiles...” Pero que “no es estrategia de las Fuerzas de Defensa de Israel matar a gente inocente. Está sucediendo; lo admito... Pero no es que los israelíes estén sentados todas las mañanas diciendo: ‘Oye, ¿cuántos civiles más podemos matar hoy? Vamos a bombardear una escuela, un hospital o un edificio residencial y, simplemente, causar víctimas civiles.’ No están haciendo eso. Están tratando de perseguir a Hamas”.

En primer lugar, a primera vista, no se puede acorralar a 2,3 millones de personas en una pequeña zona cercada, cortarles el acceso a alimentos, agua y combustible y luego bombardearla hasta el carajo sin tener la intención consciente de asesinar a civiles. Ésta es la situación en Gaza: la gente no tiene a dónde huir.

Pero, aún más, resulta que eso es EXACTAMENTE lo que hacen. Matar a civiles palestinos ES parte de la doctrina de combate de Israel.

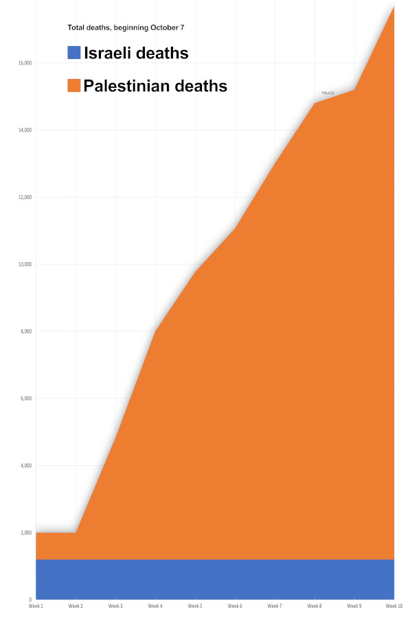
Israel / Gaza Deaths since October 2023

 

Total de muertes, desde el 7 de octubre de 2023.  
Israelíes=azul
Palestinos=naranja
Fuentes: CNN, Times of Israel.
Para agrandarla, haga clic aquí.   

Un reciente artículo, “‘A mass assassination factory’: Inside Israel’s calculated bombing of Gaza [“Una fábrica de asesinatos en masa”: Dentro del calculado bombardeo israelí contra Gaza], documenta la manera en que Israel clasifica las residencias particulares, así como los edificios públicos y los multifamiliares altos como los llamados “objetivos de poder”. Expertos militares y de inteligencia le dijeron al autor del artículo que “la intención principal es perjudicar a la sociedad civil palestina: ‘crear una conmoción’ la que, entre otras cosas, repercutirá poderosamente y ‘llevará a los civiles a presionar a Hamas’”.

En otras palabras, precisamente: “Vamos a bombardear una escuela, un hospital o un edificio residencial y simplemente causar víctimas civiles” para mutilar, asesinar y aterrorizar a la población civil como parte de la doctrina de guerra de Israel.

En cuanto a que Israel “trata de perseguir a Hamas” (al volar escuelas, hospitales y edificios residenciales), como afirma Kirby, el artículo incluye un desenmascaramiento de parte de “denunciantes” con información interna de que una política tácita pero real1 es la fabricación, en esencia, de “pruebas” de la actividad de Hamás como excusa para bombardear estos “objetivos de poder”. De que estos bombardeos tipo matanzas-en-masa que matan a bebés y niños en Gaza con el pretexto de atacar a Hamas son exactamente la doctrina militar israelí. El artículo incluye lo siguiente de una fuente actual, o anteriormente, al interior de la fuerza aérea de Israel o de la estructura de “inteligencia”:

Palestinian houses destroyed on the fifth day of temporary ceasefire, Gaza City, November 28, 2023.

 

Casas palestinas destruidas en el quinto día del alto el fuego temporal, ciudad de Gaza, 28 de noviembre de 2023.    Foto: AP

“Se nos pide que busquemos edificios altos en que se pudiera atribuir medio piso a Hamas”, dijo una fuente que participó en anteriores ofensivas israelíes en Gaza. “A veces es la oficina del portavoz de un grupo militante o un lugar donde se reúnen los agentes. Entendí que el piso es una excusa que permite al ejército causar mucha destrucción en Gaza. Eso es lo que nos dijeron.

“Si le dijeran a todos que las oficinas de la Yihad Islámica [otro grupo fundamentalista islámico en Gaza] en el décimo piso no son importantes como objetivo, pero que su existencia es una justificación para derribar el multifamiliar alto entero con el objetivo de presionar a las familias civiles que lo habitan para que ejerzan presión sobre las organizaciones terroristas, esto en sí sería considerado terrorismo. Por eso no lo dicen”, añadió la fuente. [énfasis añadido]

El autor de este artículo, Yuval Abraham, ha escrito para el influyente periódico israelí Ha’aretz y la revista The Nation y ha sido entrevistado en Democracy Now! y The Intercept. Él y un colega palestino fueron perfilados en un artículo de la BBC titulado“The writers who reached out across the divide” [Los escritores que tendieron la mano al otro lado de la división], perfil que incluye el hecho de que sus reportajes, como judío israelí dentro de Israel, lo han convertido en blanco de amenazas.

Las afirmaciones en su artículo de que es política del gobierno israelí (aunque no escrita) bombardear “objetivos de poder” sin conexión con Hamas o sólo con las conexiones más tenues con Hamas, las confirman las masacres documentadas de civiles en Gaza después del 7 de octubre. Varias de esas masacres se detallan en un informe del 20 de octubre de 2023 de Amnistía Internacional, Damning evidence of war crimes as Israeli attacks wipe out entire families in Gaza [Pruebas condenatorias de crímenes de guerra mientras los ataques israelíes aniquilan familias enteras en Gaza]. Ese artículo describe casos en los que lanzaron bombas contra edificios residenciales y asesinaron a los habitantes (incluido en un caso un bebé), en los que el ejército israelí afirmó que el objetivo estaba relacionado con Hamas, pero que no había ninguna conexión concebible con Hamas.

Los terroristas más grandes sobre el planeta

Tras los ataques del 11 de septiembre de 2001, el procurador general de Estados Unidos definió el terrorismo como la “violencia premeditada y políticamente motivada contra objetivos no combatientes”.

Ninguna persona decente puede contemplar el sangriento asedio contra Gaza sin reconocer lo que es: el asesinato de hombres, mujeres, bebés, periodistas, poetas y médicos... el bombardeo de hospitales, escuelas, campamentos de refugiados, mezquitas, panaderías y otras cosas. Se trata del terrorismo a una escala industrial.

_______________

NOTAS:

1. Consulte una perspectiva importante sobre la importancia de las instituciones oficiales que están poniendo al descubierto y oponiéndose a los crímenes contra la humanidad de parte de Israel en Gaza, y los retos para las personas dentro de estas instituciones o con conexiones con éstas, en “Una carta abierta a las personas de conciencia al interior de los organismos del gobierno de Estados Unidos, las que protestan contra la matanza de palestinos por parte de Israel con el apoyo de Estados Unidos” de Annie Day. [volver]

Nos encontramos en un punto de viraje en la historia. El sistema capitalista-imperialista es un horror para miles de millones de personas en Estados Unidos y por todo el mundo y amenaza al propio tejido de la vida sobre la tierra. Ahora, la elección del fascista Trump presenta peligros aún más extremos para la humanidad, y subraya la ilegitimidad total de este sistema, y la necesidad urgente para un sistema radicalmente diferente.

El sitio web Revcom.us sigue la dirección revolucionaria de Bob Avakian (BA), el autor del nuevo comunismo. Bob Avakian (BA) ha analizado científicamente que nos encontramos en un momento poco común cuando una revolución real se ha vuelto más posible en Estados Unidos. Ha trazado una estrategia para hacer semejante revolución, y ha expuesto una visión panorámica y plano concreto para “lo que sigue” en la Constitución para la Nueva República Socialista en América del Norte.

Revcom.us proyecta la voz, la dirección y la visión de BA por toda la sociedad. Postea su dirección oportuna para los revcom (comunistas revolucionarios) y para todo el movimiento para la revolución, incluidos sus posteos en las redes sociales, y organiza todo el conjunto de su obra.

Nuestro sitio web aplica el enfoque científico que BA ha desarrollado para analizar importantes acontecimientos en la sociedad y en el mundo: por qué pasan, cómo están relacionados entre sí, cómo todo esto está relacionado con el sistema en el que vivimos, a qué corresponden los intereses de la gente, cómo la revolución de hecho es la solución a todo esto y cuáles son los objetivos de semejante revolución.

Revcom.us sirve de guía y eje conector para el movimiento revcom a nivel nacional: muestra lo que se hace, analiza lo que está bien y lo que está mal y aprende rápidamente, y recluta a nuevas personas en lo que tiene que ser una fuerza en rápido crecimiento. Como parte de esto, revcom.us destaca y promueve El Show RNL — ¡Revolución, y Nada Menos! semanal en YouTube.com.

Dicho así: ¡no habrá revolución a menos que este sitio web no solo “siga su marcha” sino que se ponga a una altura completamente nueva!

¡HAGA UN DONATIVO ahora a revcom.us y conéctese con BA y a los revcom!

Sus donativos contribuyen a:

En el caso de que usted esté horrorizado por el fascismo de Trump y MAGA engendrado por este sistema del capitalismo-imperialismo que ahora ha llegado al poder en la superpotencia #1 dotada de armas nucleares en el mundo... que esté indignados por el tremendo daño que este fascismo está perpetrando en contra de la gente en Estados Unidos y en todo el mundo... que odie la moral de la Edad Oscura y el fascismo cristiano que están tratando de imponer a la fuerza... que vea la existencia misma de la humanidad bajo amenaza de parte del creciente peligro de una guerra nuclear y la destrucción del medio ambiente: sea parte de apoyar este sitio web revcom.us que, ahora más que nunca, juega un papel crucial en denunciar el sistema que nos gobierna y en dirigir a la gente fuera de esta locura a un futuro radicalmente diferente y mucho mejor.

Lea CINCO RAZONES por las que usted debería donar a esta campaña, difundir el mensaje sobre revcom.us e instar a sus amigos y a otras personas a donar y suscribirse a este sitio web.